本指南系统整合了反转录(RT)和实时荧光定量PCR(qPCR)的完整技术方案,涵盖从样本制备到数据分析的全流程。内容包含核心试剂原理、实验设计优化、产品选择策略以及常见问题解决方案,为基因表达分析、病原体检测等研究提供全面技术参考。
反转录技术体系
1. 反转录产品核心分类
1.1 两步法反转录系统
技术流程:RNA提取 → cDNA合成 → qPCR扩增(分步进行)
| 优势 | 劣势 | 圣尔代表产品 | 检测方法 | qPCR衔接方案 |
|---|---|---|---|---|
|
|
SB-RT001 SB-EGR023S SB-EGR024S |
|
|
1.2 一步法RT-qPCR系统
技术流程:RNA模板 → 单管完成RT+qPCR
| 优势 | 劣势 | 圣尔代表产品 | 检测方法 |
|---|---|---|---|
|
|
SB-RT006 SB-RT016 |
|
怎么选?
- 一步法适合单基因快速检测和高通量筛查,操作简便且灵敏度高;
- 两步法则更适合多基因分析、存档样本和需要优化各步骤条件的研究。
2. 功能型反转录试剂盒------推荐产品 SB-RT001
| 类型 | 技术特点 | 优势场景 | 配套qPCR方案 |
|---|---|---|---|
| 快速反转录 | 5-15分钟完成反应 (常规需30-60分钟) |
临床快速诊断 高通量筛查 |
快速qPCR试剂 |
| 长片段合成 | 支持12-20kb cDNA 高保真酶 |
全长转录本分析 可变剪接研究 |
长片段qPCR优化试剂 |
| 去gDNA污染 | 整合gDNA去除系统 (2分钟完成) |
基因表达分析 低丰度检测 |
常规qPCR试剂 |
| 单细胞或微量样本 | 无需RNA提取 从细胞裂解液直接反转录 |
单细胞研究 微量样本 |
高灵敏度qPCR试剂 |
qPCR检测技术体系
1. 检测方法比较
| 参数 | 探针法(如TaqMan) | SYBR Green法 |
|---|---|---|
| 原理 | 使用荧光标记的序列特异性探针,通过5'核酸酶活性降解探针产生荧光信号,高特异性 | 通过嵌入双链DNA的小沟区域发出荧光,操作简单且成本较低 |
| 灵敏度 | 高(单拷贝级) | 中(低10-100倍) |
| 特异性 | 极高(双重识别) | 中(依赖引物设计) |
| 成本 | 高(需合成探针) | 低 |
| 验证需求 | 通常无需额外验证 | 需熔解曲线分析 |
| 常见应用 | 病原体检测、SNP分析 | 基因表达筛查、预算有限项目 |
| 圣尔推荐产品 | SB-RT016 | SB-Q204,SB-Q205(飞敏TM系列), SB-RT006 |
2. 荧光定量PCR核心组分
2.1 热启动DNA聚合酶
技术类型:
- 抗体介导:室温完全抑制,95°C 5分钟完全激活
- 化学修饰:需较长初始变性(通常10分钟)
- 适配体抑制:新型可逆抑制技术
选择建议:抗体介导热启动适合高特异性需求;化学修饰适合常规应用;适配体技术适合特殊温度需求。
2.2 荧光检测系统
| 组分 | 功能 | 选择要点 | 备注 |
|---|---|---|---|
| ROX校正染料 | 校正孔间荧光波动 | 根据仪器要求选择: 无ROX/低ROX/高ROX |
SB-RT006中含有低ROX和高ROX SB-Q204Q204预混通用染料,适配各种机型 |
| 荧光探针 | 序列特异性检测 | 探针长度20-30bp TM值比引物高5-10℃ |
|
| 荧光染料 | 非特异性检测 | 选择低背景高信号产品 |
全流程实验方案
1. 上游样本处理
| 样本类型 | RNA提取建议 | 反转录策略 | qPCR优化要点 | 圣尔代表产品 |
|---|---|---|---|---|
| 常规细胞/组织 | 柱式法,Trizol法,磁珠法 A260/A280>1.8 |
Oligo(dT)或随机引物 42℃ 30分钟 |
标准循环条件 退火温度优化 |
|
| FFPE样本(降解样本) | 专用FFPE RNA提取试剂 关注DV200值 |
随机引物优先 短片段扩增(<150bp) |
延长变性时间 添加增强剂 |
|
| 单细胞/微量 | 直接裂解法 或微量提取试剂 |
细胞直接裂解试剂 或高灵敏度RT试剂 |
减少反应体积 增加循环数 |
暂无 |
| 植物样本 | 多糖多酚去除专用试剂 | 高温反转录(50℃) RNase H缺失酶 |
添加PCR增强剂 优化Mg2+浓度 |
SB-R010 |
2. 实验质量控制
2.1 必须设置的对照
- 无模板对照(NTC):检测试剂污染
- 无反转录对照(-RT):评估gDNA污染
- 阳性对照:验证系统有效性
- 内参基因:GAPDH/β-actin等
- 标准曲线:评估扩增效率(90-110%)
2.2 数据接受标准
| 参数 | 理想范围 | 可接受范围 | 异常处理 |
|---|---|---|---|
| 扩增效率 | 100% | 90-110% | 重新优化引物/探针 |
| R2 | >0.99 | >0.98 | 检查稀释误差 |
| 熔解曲线 | 单峰 | 主峰占比>80% | 优化退火温度 |
| 重复性 | CV<1% | CV<5% | 检查移液精度 |
| CT值 |
15-30 内参基因:15-25(具体取决于细胞活性和表达水平);中高表达基因:15-28;低表达基因:28-35 |
10-35 | 检查模板质量/量 |
针对CT值异常的具体处理办法:
| 异常现象 | 可能原因 | 判断标准 | 解决方案 |
|---|---|---|---|
| CT值<10 |
|
标准品CT值±2个循环 |
|
| CT值>35 |
|
NTC CT值-3个循环 |
|
| 复孔差异≥1.5 |
|
技术重复CV<5% |
|
注意事项:
- 不同仪器型号CT值基准可能存在差异,建议建立实验室内部标准
- 同一实验中,内参基因CT值波动应<1个循环
- 相对定量时,ΔΔCT法要求目标基因与内参基因CT值差<5
应用场景解决方案
| 研究目标 | 推荐方法 | 推荐反转录产品 | 推荐qPCR产品 | 核心优势 |
|---|---|---|---|---|
| 常规基因表达 | SYBR Green + 两步法RT-qPCR | SB-RT001 SB-EGR023S |
SB-Q205 |
|
| 病毒快速检测 | 一步法RT-qPCR | SB-RT006(一步法) |
|
|
| 单细胞转录组 | 直接裂解细胞反转录(珍贵) | SB-R001 | SB-Q205 | 细胞裂解提取总RNA可直接用于qPCR |
| 高GC含量模板 | 选择可耐高温反转录酶,反转录前预处理,提高反转录温度55-60°C,添加PCR增强剂如DMSO | SB-RT006(一步法) | 60℃反转录,二级结构解析 | |
常见问题排查指南
| 问题现象 | 可能原因 | 解决方案 | 预防措施 |
|---|---|---|---|
| 无扩增信号 |
|
|
|
| 熔解曲线多峰 |
|
|
|
| 重复性差 |
|
|
|
| 扩增效率异常 |
|
|
|
产品部分优势展示

图1 圣尔飞敏™ Visual SYBR qPCR Premix (Universal) SB-Q205示踪效果展示
示踪效果明显,使加样过程可被监控,方便研究人员操作,减少加样错误的发生。

图2.1 圣尔飞敏™ Visual SYBR qPCR Premix (Universal) SB-Q205扩增效果展示
从结果中可以看出,示踪染料不影响产品扩增效果

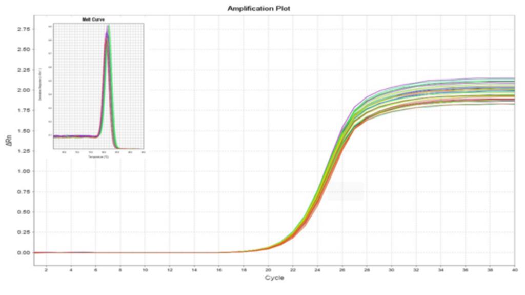
图2.2 圣尔飞敏™ Visual SYBR qPCR Premix (Universal) SB-Q205扩增稳定性展示
相同模板扩增48个复孔,结果表明重复性高。

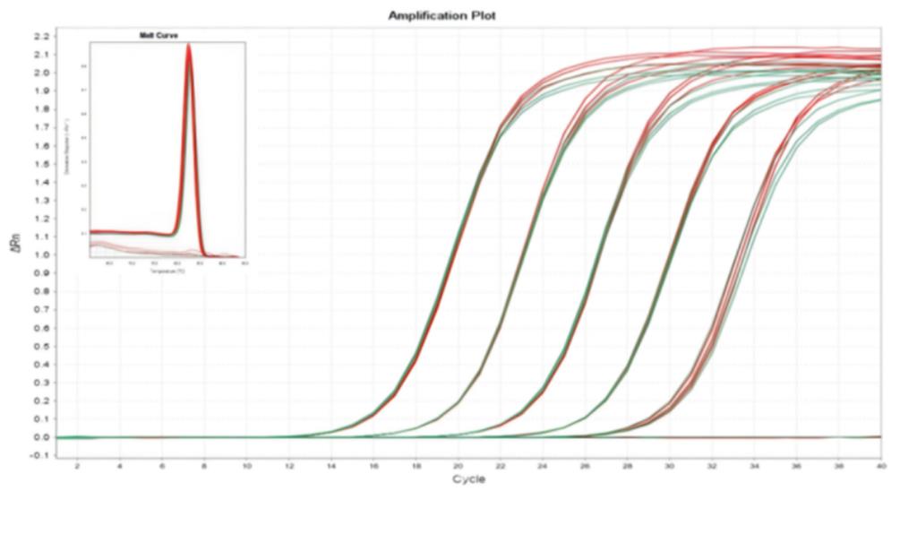
红色:-20°C避光对照;绿色:37°C避光一周
图2.3 圣尔飞敏™ Visual SYBR qPCR Premix (Universal) SB-Q205 储存稳定性展示
避光条件下,于37°C放置一周,与-20°C对照相比,扩增性能无明显差异。



